近日,中国书法家协会会员、中华诗词学会会员、迁安市书法家协会主席张森,在迁安市博物馆举办“胜迹千秋”主题书法展。
张森曾在迁安一中任教多年,后任职媒体编辑记者。他深耕传统文化领域,参与主编多部在迁安颇具影响力的著作。书法起初是他的业余爱好,后兴趣日浓、愈发痴迷,遂赴杭州、北京等地潜心研习、勤苦修炼。其书法创作根植传统、博采约取,真、草、隶、篆诸体皆能,尤其在汉隶、魏碑上用功最勤,作品多次入选全国专业书法大展。
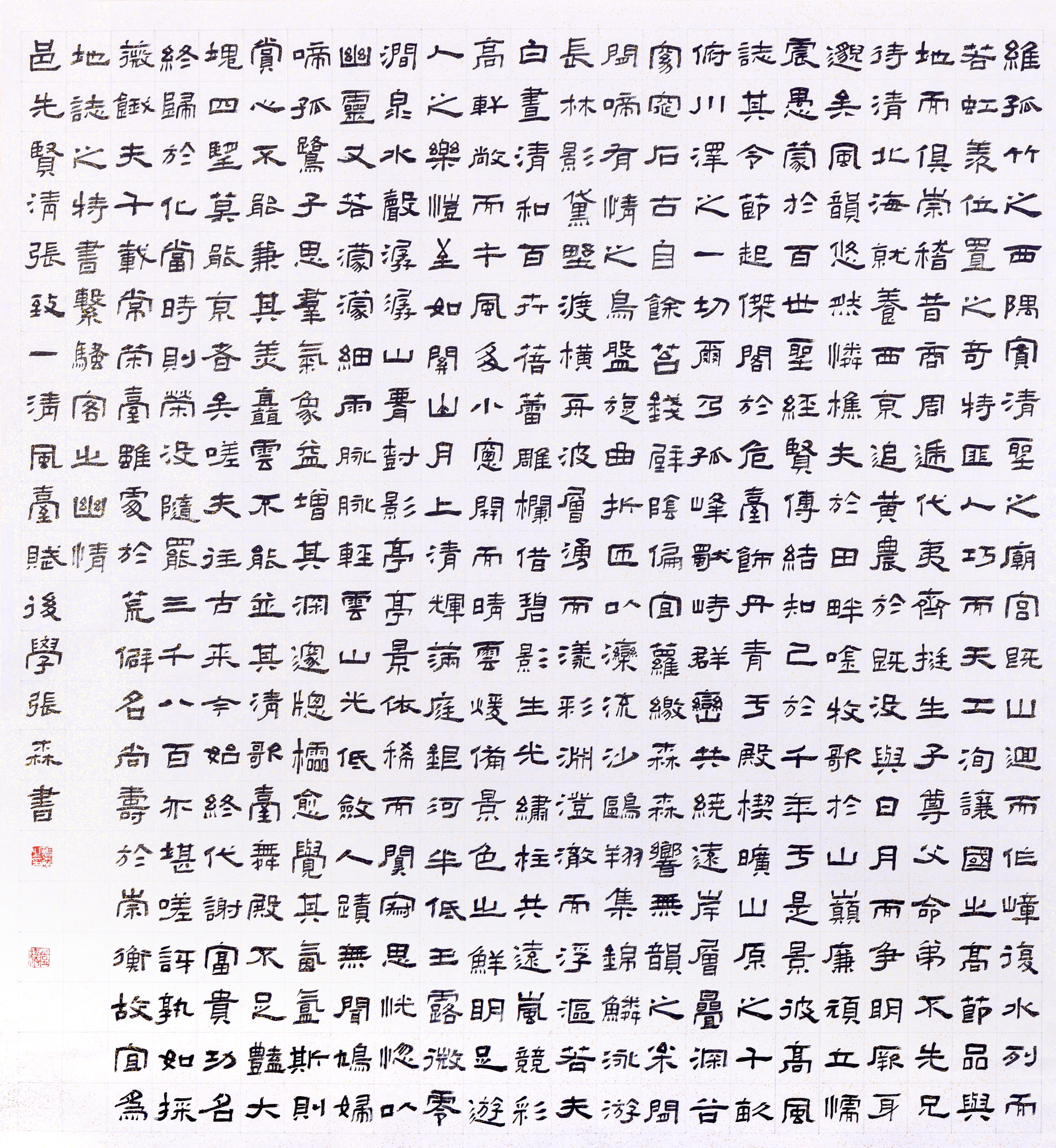
本次展览共展出80余幅作品,内容多源自清代乾隆、同治年间及民国时期版本的《迁安县志》,涵盖疆域、山川、古迹、人物等诸多方面。所有文字均经张森细心点校与甄别,既彰显其深厚的古文字功底,也体现其独到的审美眼光。此次展览既是对他书法艺术成就的集中展示,也是对迁安悠久历史文化的大力弘扬。本刊特遴选部分书法作品,以飨读者。

清 刘鸿儒 “天地乾坤”联

清 王永命 《修菜根轩记》

清 王永命《都山积雪》

清 张太复《游景忠山》

毛泽东《采桑子 重阳》

孤竹城令支城

题佛山公园联

明 戚继光《三屯营工成志喜》

清 张太复《分属岭》

清 张致一《清风台赋》

明 唐顺之《晓发喜峰》







